热门:
科普 | 波动率交易怎么做?
实际应用当中,波动率有均值回归的原理和聚集效应的特征,投资者通过应用这些原理和特征,构建期权的波动率交易策略。在波动率较高的位置做空波动率,在波动率较低的位置做多波动率。
波动率的主要类型
对于投资者来说,在对市场未来进行主观预测时,往往与理性上的结果出现实质性偏差,并且还很难保持一个“DELTA中性”头寸。因此,为了寻找一种对标的市场价格方向判断的交易方法,投资者转向了波动率交易。简单地说,预测波动率比预测价格往往要容易得多,从而使得投资者在期权交易时热衷于做波动概率策略。也就是说,投资者如果能将波动率从标的市场价格剥离出来,就不会在乎标的价格的走势,而是只会关心波动率的升降。实际应用当中,波动率有均值回归的原理和聚集效应的特征,投资者应用这个原理和特征,构建期权的波动率交易策略。在波动率较高的位置做空波动率,在波动率较低的位置做多波动率。
波动率用来描述金融资产如股票、期货、债券或指数等价格的波动程度,是对资产收益率不确定的衡量,反映金融资产的风险水平。波动率越高,金融资产价格的波动就越剧烈,资产收益率的不确定性就越强,金融资产的风险水平就越大;反之,金融资产价格波动越平缓,资产收益率的确定性就越强,金融资产的风险水平就越小。
期权方面,有两类波动率起着至关重要的作用:一是历史波动率,是指投资回报率在过去一段时间内所表现出的波动率,衡量的是金融资产过去价格的变化程度,它由标的资产市场价格过去一段时间的历史数据(即St的时间序列资料)反映。也就是说,可以根据{St}的时间序列数据,计算出相应的波动率数据。二是隐含波动率,是指期权市场对标的物在期权有效期内的波动率的预测。计算方法是,将期权的市场价格代入布莱克—斯科尔斯期权定价理论模型(以下简称B—S模型),反推出来的波动率数值。计算和比较这两种波动率,就可以在预测标的金融资产的波动率方面对投资者有所帮助,这对决定当前期权的价格有着至关重要的作用。
波动率最主要的一个特征就是均值回归特性,具体表现为波动率在一定周期内总是在一定范围波动,一旦超出这个波动范围,未来大概率要重新回到此区间运行。聚集性是指波动率高的时刻会聚集在一起,波动率低的时刻也会聚集在一起。即当前交易日的波动幅度大,则下一交易日出现波动幅度大是大概率事件。以甲醇为例,下图为甲醇一段时间的20天历史波动率走势,其中中轨是上一年度的历史波动率算术平均值,上轨是前一年的算术平均值加上一倍标准差,下轨是前一年的算术平均值减去一倍标准差。

图为甲醇波动率的均值回归特性
历史波动率方面,可以用公式来衡量,它其实是一个计算标准差的公式。历史波动率,一般采用的是对数收益率年化的算法。以PTA为例,计算方式为:一是计算价格的对数变动值,如获取PTA的时间序列收盘价P(i),分别取自然对数,然后再做差值,即:y(i) = LN(P(i)/P(i-1));二是计算区间标准差,计算D天(如:D=20)的标准差,即std(i)= STDEV(y(i-D)∶y(i));三是计算历史波动率,用标准差年化(如:T=242天)即可得到D天的历史波动率,即hisvol(i)=std(i)×sqrt(T)。
对于历史波动率可以根据不同时间段来衡量,如投资者通常计算5天、10天、20天、60天的历史波动率。
一般来说,近期和远期的波动率高于中期的波动率,由于短期的波动率受标的价格影响较大,选用短期波动率容易造成频繁交易;远期的波动率受标的价格变化影响较小,但是波动率的变化相对滞后,所以投资者在实际应用中,20天的历史波动率是使用最普遍的。
期权隐含波动率,一般是通过期权的盘面价格、标的资产价格、期权行权价、剩余到期时间和无风险利率根据B—S模型反推出来得到的波动率。在实际交易中,一般的期权行情软件都会有期权的隐含波动率,直接取用即可。
在任何交易时间上,投资者都可以确切地知道影响期权价格的因子:标的的价格、行权价、剩余到期时间、无风险利率,唯一剩下不知道的因子是波动率,也就是期权的隐含波动率。从根本上讲,期权的隐含波动率是期权市场对标的物在期权有效期限内即将出现的统计波动率的预测。实际运用中,投资者根据B—S模型,期权价格=f(标的价格,行权价,剩余到期时间,波动率,无风险利率)。我们如何求知期权的隐含波动率呢?如下案例,如投资者已知以下信息:PTA2209合约价格为6700元/吨,9月份行权价为6800的看涨期权价格为300元/吨,剩余到期时间70天,无风险利率5%。
这样的信息对任何期权投资者来说,都可以从期权的报价系统中获取,然后根据这些因子代入B—S模型可以计算出期权的隐含波动率为27.05%。当然,现在一般期权行情软件中都会给出期权的隐含波动率。期权隐含波动率是对未来的评估,它是以交易者的推测为基础,当然这种预估也有可能存在一定偏差。
在实际应用当中,投资者往往是根据市场给出的期权隐含波动率构建自己的波动率,然后形成时间序列的隐含波动率。常用的构建方法有两种,一是成交量和隐含波动率加权平均法,即每天收盘后,利用当天的主力月合约(或者全部合约)的成交量和各期权合约的隐含波动率加权平均得到当天的期权隐含波动率。二是运用插值的方法计算平值期权隐含波动率当做期权的隐含波动率。下图为甲醇和PTA的20天期权波动率走势(成交量加权平均)。

图为甲醇期权隐含波动率走势

图为PTA期权隐含波动率走势
不同投资组合的应用
一般来说,期权投资者交易期权波动率时,最简单的策略就是最好的策略。如果波动率过低,投资者可以做多波动率,常用的期权策略是买入跨式组合策略或者买入宽跨式组合策略。
如上证50ETF在2月16日的价格为3.1160,平值期权的隐含波动率为14.42%,而近一年以来期权的隐含波动率均值为18.32%,标准差为2.53%。也就是说,当时50ETF平值期权的隐含波动率位于近一年来1倍标准差以下,属于较低水平,则可以构建做多波动率策略,买入跨式组合策略。如下:

表为上证50ETF和平值期权
在2月16日50ETF价格为3.1160,投资者分别买入1张3月份平值期权的认购期权(3.10C)和认沽期权(3.10P),价格分别为:pc1=0.0741,pp1=0.0479。
到了3月15日50ETF价格为2.6870,跌幅为13.60%。投资者平仓了结期权头寸,平仓价格分别为pc2=0.0028,pp2=0.4410。
损益=((0.0028+0.4410)-(0.0741+0.0479))×10000=3218。
收益率=3218/((0.0741+0.0479)×10000)-1=1.64。
从以上可以看出,在期权隐含波动率比较低的时候,又不确定方向,可以做多波动率,最简单的策略就是买入跨式组合策略。这种做多波动率的简单而风险可控的波动率策略,投资者不在乎标的价格的涨跌,只关心标的价格的运动对波动率的增长影响。此外,建立这种做多波动率的买入跨式或买入宽跨式策略时尽可能保持中性。
如果波动率过高,投资者可以做空波动率。常用的做空波动率期权策略是卖出跨式组合策略或者卖出宽跨式组合策略。因此,后续的实证分析,高波动率的期权策略均采用做空波动率策略,采用最简单的形式卖出跨式组合策略或者虚一档的宽跨式组合策略。
根据以上应用期权的成交量加权平均算法,计算每天的期权隐含波动率,然后计算前20天的算术平均值作为中轨,并计算前20天隐含波动率的标准差,然后均值的上下一倍标准差作为上下轨,连起来构成期权隐含波动率时间序列走势图。
交易策略方面,当期权的隐含波动率高于上轨时,构建做空波动率策略,当期权隐含波动率回归至中轨时,平仓了结;当期权的隐含波动率跌破下轨时,构建做多波动率策略,当期权隐含波动率回归至中轨时,平仓了结;当期权隐含波动率上下轨之间振荡,构建中性策略的卖出宽跨式组合,做空波动率。

图为甲醇期权隐含波动率走势
以甲醇期权作为波动率回归模型作为实证分析,应用上面的方法构建甲醇期权的波动率策略。其中策略周期为2019年12月16日至2022年4月30日,初始权益100万元,根据模型策略得到波动率策略概要和净值曲线图如下:

表为甲醇期权波动率策略概要

图为甲醇净值曲线
从以上甲醇期权波动率策略实证分析可以看出,两年多以来,累计收益率为124.98%,最大回撤控制在10%以内,夏普比率达到4.39.这表明期权的波动率模型在不考虑方向性的情况下,是行之有效的一种投资策略模型。
把握趋势和运行规律
以PTA为例应用历史波动率的分位数模型实证分析,以期权的卖方策略为主,不涉及期权的买方策略。主要原因是,对于期权投资者来说,买入期权就是花钱买了一份权利,而这个权利会随着时间的流逝而减少,卖出期权随着时间的流逝而获取时间价值。对于期权卖方来说,如果波动率处于向下趋势,则期权的卖方还可以获取波动率下跌的收益。从而构建波动率差异的期权投资模型是以卖方策略为主。
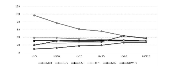
根据前面研究分析得知,波动率有聚集特性,再根据聚集体性分别计算标的价格5天、10天、20天、30天60天和120天过去一年的历史波动率,统计标的资产价格过去一年20天的历史波动率的概率分布,然后分别计算0.25、0.50和0.75分位数所处的位置,构成历史波动率锥。若当前的波动率低于0.25分位数以下,则表明当前的波动率处于较低水平,再往下跌的空间不大,做空胜率比较小;若当前的波动率高于0.25分位数以上,则表明波动率有回落的空间,此时做空波动率胜算比较高。此模型,做空期权波动率仍以卖出虚一档的看涨期权和看跌期权的卖出宽跨式组合策略,通过调整持仓ELTA,使得持仓保持中性,即构建中性的做空波动率策略。

图为PTA历史波动率锥
以PTA期权波动率聚集分布作为实证分析模型,应用上面的方法构建PTA期权的波动率策略。其中策略周期为2019月12月16日至2022年4月30日,初始权益为100万元,根据模型策略得到波动率策略概要和净值曲线图如下:

表为 PTA期权波动率策略概要

图为PTA净值曲线
从以上PTA期权波动率聚集分布的投资策略实证分析可以看出,投资模型累计收益率为166.51%,最大回撤为7.86%,夏普比率达到4.06.表明期权的聚集分布模型在期权的波动率交易策略应用中展现出模型策略的稳定性和较高的回报率。
另外,以上实证分析结果表明,波动率的均值回归和聚集分布表现出了惊人的实用性,投资者可以不考虑标的物甲醇和PTA方向性的变化,最大回撤均控制在10%以内,在策略运行期权标的物甲醇的最大回撤26.55%,PTA最大回撤为36.26%;累计收益率分别为124.98%和166.51%;夏普比率均超过4。
期权的理论交易大部分是以中性策略方式为主,它有一个很重要的交易策略,即波动率交易策略。投资者可以使用统计学的方法来预测波动率的运动方式,波动率交易者的交易目的是寻找波动率的运行规律,当波动率较低时做多波动率,当波动率处于较高水平时,做空波动率,然后构建一个中性的波动率策略头寸。这种交易波动率的策略,投资者在预测波动率往往会比预测标的价格的方向更容易,从而做出相应的投资策略。
投资者在波动率较低时买进波动率,策略风险可控收益无限,而且不需要投资者不断地对持仓头寸进行监控,其缺点就是,当标的价格的波动在一定范围振荡,则持仓头寸就会损耗时间价值。
投资者在高波动率做空波动率时,理论上收益有限风险无限,则需要经常对头寸进行监控,不断地调整持仓头寸,使得持仓尽量保持中性。
历史波动率与期权隐含波动率的差异,短期期权与长期期权的隐含波动率的差别,以及预测标的价格分布的困难,所有的这些都使得预测波动率的过程变得更加复杂。也就是说,期权的波动率交易策略不是一成不变的,但是通过以上实证分析表明,通过期权隐含波动率策略的理论交易期权可以找到稳定的交易策略模型。因此,大多数期权专业投资者交易期权主要是交易波动率而不是方向性交易,体现了波动率交易策略在期权交易中占据着重要的地位。
(文章来源:期货日报)
(原标题:波动率交易怎么做?)
(责任编辑:427)
关于我们|资质证明|研究中心|联系我们|安全指引|免责条款|隐私条款|风险提示函|意见建议|在线客服|诚聘英才
天天基金客服热线:95021 |客服邮箱:vip@1234567.com.cn|人工服务时间:工作日 7:30-21:30 双休日 9:00-21:30
郑重声明:天天基金系证监会批准的基金销售机构[000000303]。天天基金网所载文章、数据仅供参考,使用前请核实,风险自负。
中国证监会上海监管局网址:www.csrc.gov.cn/pub/shanghai
CopyRight 上海天天基金销售有限公司 2011-现在 沪ICP证:沪B2-20130026 网站备案号:沪ICP备11042629号-1